
4-79系列离心风机
产品规格
特点:
用途:
规格:
风机直径:
风量:
风压:
用途:
规格:
风机直径:
风量:
风压:
产品概述
??离心通风机用作一般通风换气,作为一般工厂及建筑物的室内通风换气。既可用作输入气体,也可用作输出气体。输送的气体应为空气和其他不自燃的、对人体无害的、对钢材料无腐蚀性的气体。气体内不许含有粘性物质,所含尘土及硬质颗粒物不大于150mg/m3,气体温度不得超过80℃。其中对一定浓度的腐蚀性气体的输送可以用玻璃钢为材料,生产防腐风机。同时对输送易爆气体的防爆离心风机,叶轮可用铝合金加工,以防在运转中引起火花,电机配用隔爆型电机,其性能参数均与普通风机相同。离心通风机可制成右旋和左旋两种型式。从电机一侧正视,叶轮顺时针旋转,称为右旋风机,以“右”表示,叶轮逆时针旋转,称为左旋风机,以“左”表示。风机的出口位置,以机壳的出风口角度表示。
产品参数及说明
4-79No.3~6离心通风机性能参数与选用配置表
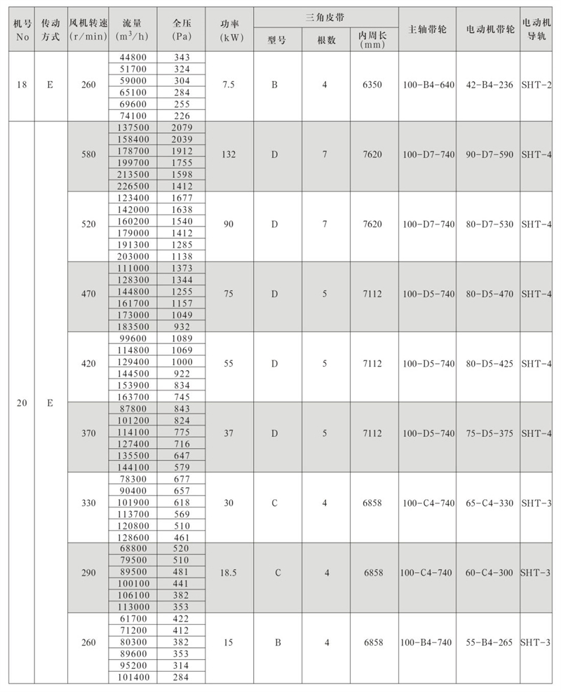
4-79No.7~20离心通风机性能参数与选用配置表
其他产品